Skip to content
  • Forsiden
  • Kapsejlads
    • Resultater Ærø Rundt
      • Resultater Ærø Rundt 2025 fra Søby
      • Resultater Ærø Rundt 2024
      • Resultater Ærø Rundt 2023
      • Resultater Ærø Rundt 2021
      • Resultater Ærø Rundt 2020
      • Resultater Ærø Rundt 2019
    • Aftenkapsejladser
      • Aftenkapsejladser – resultater 2024
      • Aftenkapsejladser – resultater 2023
      • Aftenkapsejladser – resultater 2022
      • Aftenkapsejladser – resultater 2021
      • Aftenkapsejladser – resultater 2020
      • Aftenkapsejladser – resultater 2019
  • Turberetninger
  • Roafdelingen
    • Styrmænd i Roafdelingen
    • Roafdelingen, referater, årsberetninger, programmer m.m.
    • Fondsmidler og sponsorer
  • Kalender
  • Billeder
  • Sejlervejr
  • Seneste Nyheder
  • Om klubben
    • Generalforsamlinger – referat og beretninger m.v.
      • Generalforsamlinger – 1. Marts 2025 referat og beretninger m.v.
      • Generalforsamling 2024
      • Generalforsamling 2023 (referat m.v.)
      • Generalforsamling 2022 (referat m.v.)
    • Bliv medlem
    • Privatlivspolitik
    • Bestyrelsen
    • Bestyrelsesreferater
    • Vedtægter for Marstal Sejlklub
    • Udvalg
      • Sejladsudvalg
      • Optimist/junior
      • Klubhus
      • Kran/plads
      • Klubmåler
      • Medlemsblad
      • Parkudvalg
      • Hjemmeside
    • Luftballonen
  • Book Lokale
  • Forsiden
  • Kapsejlads
    • Resultater Ærø Rundt
      • Resultater Ærø Rundt 2025 fra Søby
      • Resultater Ærø Rundt 2024
      • Resultater Ærø Rundt 2023
      • Resultater Ærø Rundt 2021
      • Resultater Ærø Rundt 2020
      • Resultater Ærø Rundt 2019
    • Aftenkapsejladser
      • Aftenkapsejladser – resultater 2024
      • Aftenkapsejladser – resultater 2023
      • Aftenkapsejladser – resultater 2022
      • Aftenkapsejladser – resultater 2021
      • Aftenkapsejladser – resultater 2020
      • Aftenkapsejladser – resultater 2019
  • Turberetninger
  • Roafdelingen
    • Styrmænd i Roafdelingen
    • Roafdelingen, referater, årsberetninger, programmer m.m.
    • Fondsmidler og sponsorer
  • Kalender
  • Billeder
  • Sejlervejr
  • Seneste Nyheder
  • Om klubben
    • Generalforsamlinger – referat og beretninger m.v.
      • Generalforsamlinger – 1. Marts 2025 referat og beretninger m.v.
      • Generalforsamling 2024
      • Generalforsamling 2023 (referat m.v.)
      • Generalforsamling 2022 (referat m.v.)
    • Bliv medlem
    • Privatlivspolitik
    • Bestyrelsen
    • Bestyrelsesreferater
    • Vedtægter for Marstal Sejlklub
    • Udvalg
      • Sejladsudvalg
      • Optimist/junior
      • Klubhus
      • Kran/plads
      • Klubmåler
      • Medlemsblad
      • Parkudvalg
      • Hjemmeside
    • Luftballonen
  • Book Lokale

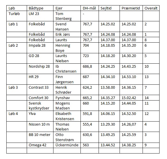
Resultater af Ærø rundt 21 juni 2025

Marstal sejl- og roklub | Sejlmagervej 7 | 5960 Marstal | mail@marstalsejlklub.dk

Lavet af calio.dk